高考陕西各院校录取线, 陕西财经大学分数线是多少

高中毕业考试陕西各院校录取线?
请问,这个题不这样回答,还能怎么回答?
今年陕西高中毕业考试第二次模拟投档理工类陕西一本高校录取线:
西安交通大学615分;
西安交通大学医学部592;
西北工业大学596分;
西安电子科技大学587分;
陕西师范大学545分;
西北农林科技大学529分;
长安大学546分;
西北大学555分;
陕西科技大学488分;
西安建筑科技大学495分;
西安理工大学513分;
西北政法大学499分;
西安外国语大学449分;
西安石油大学469分;
西安工业大学 477;
西安工程大学 466;
陕西中医药大学 451;
西安科技大学 476;
西安邮电大学 512;
西安财经大学 461;
陕西理工大学 454;
延安大学 461;
西安医学院452分。
陕西财经大学成绩?
没有陕西财经大学,肯定是提问 西安财经大学的录取线。
西安财经大学在陕录取线理科:地方专项计划本科批低分465,位次46447;国家专项计划本科批低分459,位次49947;本科一批低分453,位次53780;中外合作办学本科一批低分443,位次排名60059。文科学员录取线:国家专项计划本科批低分534,位次6748;地方专项计划本科批低分515,位次10374;普通类本科一批低分505,位次12261位。
理科,本科一批,(中外合作办学)443.位次60249
本科一批统招,454.位次53315
地方专项计划批,465.位次47014
国家专项计划批,459.位次50343
文科一批,506.位次12416
地方专项计划批,515,位次.10410
国家专项计划批,534,位次6852
这是精确数字,希望本文内容能对大家有很大帮助。
西安财经大学是一本吗?
因为西安财大在陕西和全国是第一批次本科招生,我们一般觉得西安财经大学是一本大学。
但是教育部门并没有明文说西安财经学院是一本还是二本,而我们大多数情况下是通过招生批次来确定是一本还是二本学校。
假设西安财经大学在广东是第一批次招生,既然如此那,我们觉得它是一本大学,假设在广东是第二批次招生,一般说它是二本大学。假设西安财经大学既有一批又有二批招生的,一般也觉得是二本大学。
按照经验来说,专业比学校重要,一所二本学校也有一本专业的。
现在,西安财经大学的金融学专业入选了国家级一流本科专业建设点,而经济学,统计学,会计学,信息管理与信息系统,工程管理,物流管理,电子商务,法学,汉语言文学等0个专业则入选了省级一流本科专业建设点。
后,学员可按照自己所在省份的一本、二本批次成绩分数线来对比确定西安财大在你们省份是属于一本还是二本大学。
详细记录:019年西安财经大学每个省份市录取成绩分数线及批次线
陕西财经学院录取成绩分数线?
你要问的是陕西财经技术学院么? 09年文史类录取分高492低364平均415 理工类高489低395平均423 (参考自09陕西普通高校招生考试统计年报)
西安财务学校是重点大学吗?
不是重点大学。
西安财经大学既不是985也不是211。西安财经大学是陕西属重点建设高校是我们国内为数很少以财经大学命名的高校之一,该校综合办学实力很强,学科特色鲜明,地理区位优势明显是一所值得选择和报考的学校。
西安财经大学正是得益于这样的学科特色的优势,才让他每一年的录取成绩分数线 都比非常高,而且,学生的就业率也很不错。
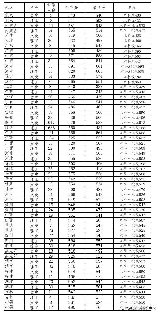
西安交通大学每个省份录取人员数量?
西安交大在全国985排名为12,也是全国十大名校之一,在陕西录取成绩分数线高的一所院校。在 合并了西安医科大学和财经学院,大多数情况下高中毕业考试成绩在650分以上才有可能考取是各位学员和学员家长梦寐以求的理想学校。下面这些内容就是西安交大在每个省份的录取人员数量。
西安财经大学是重本吗?
西安财经大学不是重点一本大学。西安财经大学是陕西省属公办一本大学是从原来的二本西安财经学院升格发展起来的,虽然目前一批本科招生成绩分数线也不低,但是升格发展为一本也没有几年时间,西安高校如林,西安财经大学根本不可以和那些老牌大学相比。
西安财经大学在陕西属于一本大学,单不是211也非985大学。
简称“西安财大”、“西财大”,坐落于古都西安是中华人民共和国国家统计局与陕西人民政府共建高校。是一故此,经济学、管理学为主干,隐藏在整体中,却又能一眼看出来统计学、财政学、金融学、会计学等学科的优势和特色,以文学、法学、理学、工学、艺术学为支撑的多科性大学。
学校前身是1952年创建的西北贸易学校;1985年,西北贸易学校更名为陕西商业专科学校;1996年,陕西商业专科学校、陕西财政专科学校、陕西工商学院三校合并为陕西经贸学院; 6月,陕西经贸学院与西安统计学院合并组织建设西安财经学院; 11月经教育部批准更名为西安财经大学。
截至 5月,学校长安、雁塔、翠华东、翠华西4个校区占地1600余亩,下设13个教学院部、47个本科专业;拥有一级学科硕士点5个、硕士专业学位授权点6个;专任教师1000余人,在学校念书全日制学生1.7万余人,留学生60名。
不是。西安财经大学是原来陕西财政专科学校,税务学校,银行学校合并而成的是二本。
医药备考资料及辅导课程
医学教育网卫生职称免费资料下载
电子版资料领取
辅导班培训课程
©下载资源版权归作者所有;本站所有资源均来源于网络,仅供学习使用,请支持正版!
医药培训班-名师辅导课程

>>培训班视频课程,听名师讲解<<

>>培训班视频课程,听名师讲解<<
(文章编辑:华宇考试网)
医学教育网卫生职称免费资料下载
-
电子版资料领取
辅导班培训课程
©下载资源版权归作者所有;本站所有资源均来源于网络,仅供学习使用,请支持正版!

>>培训班视频课程,听名师讲解<<

>>培训班视频课程,听名师讲解<<




