动量守恒表达式有哪些,动量守恒和能量守恒联立公式的解

动量守恒表达式有什么?
1、m1v1+m2v2=m1v′1+m2v′2,两个物体组成系统相互作用前后,动量保持不变。
2、Δp1=-Δp2,相互作用的两物体组成的系统,两物体的动量变化量大小相等、方向相反。
3、Δp=0,系统的动量变化量为零。
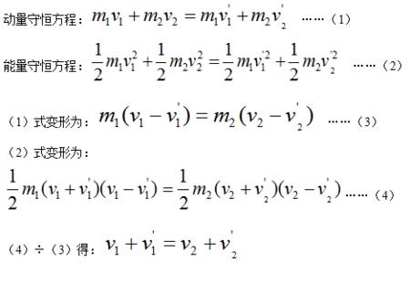
动量守恒和能量守恒联立公式?
请看下方具体内容
动量守恒定律
一个系统不受外力或所受外力之和为零,这个系统的总动量保持不变,这个结论叫做动量守恒定律。
1.动量守恒定律是自然界中重要,要优先集中精力普遍的守恒定律之一是一个实验规律,也可以用牛顿第三定律结合动量定理推导出来。
2.相互间有作使劲的物体系称为系统,系统内的物体可以是两个、三个或者更多,处理实质上问题时要按照需和解答问题的方便程度,合理地选择系统。
能量守恒定律
能量既不会凭空出现,也不会凭空消失,它仅仅会从一种形式转化为另一种形式,或者从一个物体转移到其它物体,而能量的总量保持不变。
由p=mv和Ek=1/2mv得,p=√2mEk
动量:物体的质量和速度的乘积叫做动量。公式p=mv。动量是描述物体运动状态的一个量,它与时刻相对应,动量是矢量,它的方向和速度的方向一样,只要m的大小、v的大小和v的方向,三者中任何一个或哪些出现了变化,动量p就出现变化。因为物体的速度与参考系的选取相关,故此,物体的动量也与参考系的选取相关,因而动量具有相对性。
由p=mv和Ek=1/2mv得,p=√2mEk。动量和动能的大区别是,动量是矢量,动能是标量,物体的动量出现了变化,其动能未必出现变化,物体的动能出现了变化,其动量一定出现变化。
设质量为m1的小球以速度为v0和静止在光滑水平面上质量为m2的小球出现弹性正碰.
以m1 m2为系统动量守恒m1v0=m1v1+m2v2
动能守恒 1/2m1v0^2=1/2m1v1^2+1/2m2v2^2
v2=m1(v0-v1)/m2代入 1/2m1v0^2=1/2m1v1^2+1/2m2v2^2
V1=(m2-m1)v0/(m1+m2) v2=2m1v0/(m1+m2)
动量守恒方程式大多数情况下怎么解?
(1)确定研究对象(系统),进行受力分析:☆ (2)确定研究过程,进行运动分析;☆ (3)判断系统在所研究的途中是不是满足动量守恒定律成立的条件;☆ (4)规定某个方向为正方向,分析初末状态系统的动量; ☆ (5)按照动量守恒定律建立方程,并得出结果。
动量守恒定律碰撞公式?
动量守恒定律公式碰撞:m1v1+m2v2=m1v。动量守恒定律是自然界中重要,要优先集中精力普遍的守恒定律之一是一个实验规律,也可以用牛顿第三定律结合动量定理推导出来。牛顿第三运动定律的常见表达是:相互作用的两个物体当中的作使劲和反作使劲总是大小相等,方向相反,作用在同一条直线上。该定律是由艾萨克·牛顿在1687年于《自然哲学的数学原理》一书中提出的。牛顿第三运动定律和第一、第二定律共同组成了牛顿运动定律,阐述了经典力学中基本的运动规律。
中,弹性碰撞,非完全碰撞,完全
1、动量守恒:
以两球碰撞作为例子:光滑水平面上有两个质量分别是m1和m2的小球,分别以速度v1和v2且v1v2做匀速直线运动。当m1追上m2时,两小球出现碰撞,设碰后二者的速度分别是v1ˊ,v2ˊ。
设水平向右为正方向,它们在出现相互作用碰撞前的总动量:p=p1+p2=m1v1+m2v2,在出现相互作用后两球的总动量:pˊ=p1ˊ+p2ˊ=m1v1ˊ+m2v2ˊ。
设碰撞途中两球相互作使劲分别是F1和F2,力的作耗费时长间是按照牛顿第二定律,碰撞途中两球的加速度分别是:
按照牛顿第三定律,大小相等,方向相反,即:F1=-F2
故此,:m1a1=-m2a2
碰撞时两球当中力的作耗费时长间很短,用
表示,这样加速度与碰撞前后速度的关系就是:
代入上式,整理后可得:
或写成:
即:
这表达两球碰撞前后系统的总动量是相等的。
2、弹性碰撞:
弹性碰撞前后系统的总动能不变,对两个物体组成的系统的正碰情况满足:
即
两式联立可得:
当v2=0时,
这个时候若m1=m2,,这时v1=0;v2=0,碰后达到了动量和动能的都交换。
若m1m2,,这时v1约等于v1,v2约等于2v1,碰后m1的速度基本上未变,仍根据原方向运动,质量小的物体以两倍v1的速度向前运动。若m2m1,,这时v1约等于-v1;v2约等于0,碰后m1按原来的速度弹回,m2基本上不动。
3、非完全弹性碰撞:
非完全弹性碰撞情况下,假设物体碰撞后,各自具有不一样的速度,但系统的总动能减小,机械能损失很大。0e1,即分离速度小于接近速度。这样的情况下,损失的机械能转化为物体的内能。针对完全非弹性碰撞,e=0,即分离速度为零,两物体粘合在一起运动。
4、完全非弹性碰撞:
物体A碰撞物体B,碰撞前,物体A的质量mA=m1,物体A的速度vA=v1,物体B的质量mB=m2,物体B的速度vB=v2。
因为物体A碰撞物体B,于是v1≠v2,v1≠0,v2≠0,若v1与v2等大反向,则v1≠0,v2≠0,v1≠v2,v2=-v1,v1-v2=v1-(-v1)=2v1,当v1=0且v2=0时,物体A不碰撞物体B且v1与v2同向。
碰撞前,物体A与物体B的总动量P
因为m1、v1、m2、v2为定值,于是P为定值,物体A与物体B的总动能Ek
碰撞后,物体A的质量mA=m1,物体A的速度vA=v1,物体B的质量mB=m2,物体B的速度vB=v2,物体A与物体B的总动量
因为物体A与物体B的总动量不变,于是
因为P为定值 ,于是P为定值 ,物体A与物体B的总动能
因为能量可能会损失,于是
当v1=v2时,物体A与物体B的总动能Ek小。当物体A与物体B的总动能Ek小时,v1=v2,这样的碰撞叫做完全非弹性碰撞。
扩展资料:
动量守恒定律是自然界普遍、基本的规律之一。不仅适用于宏观物体的低速运动,也适用与微观物体的高速运动。小到微观粒子,大到宇宙天体,不管内力是什么性质的力,只要满足守恒条件,动量守恒定律总是适用的。
适用条件:
系统不受外力或者所受合外力为零;系统所受合外力虽然不为零,但系统的内力远大于外力时,如碰撞、爆炸等情况中,系统的动量可看成近似守恒。
系统总结历次经验来看不满足以上条件的任意一条,则系统的总动量不守恒。但是,若系统在某一方向上满足以上条件的任意一条,则系统在该方向上动量守恒。
动量守恒定律的反冲情况公式?
系统在内力作用下,当一些向某一方向的动量出现变化时,剩下部分沿相反方向的动量出现同样大小变化的情况.喷气式飞机、火箭等都是利用反冲运动的实例.若系统由2个部分组成,且相互作用前总动量为零。大多数情况下为物体分离则有 , M是火箭箭体质量,m是燃气改变量。喷气式飞机和火箭的飞行应用了反冲的原理,它们都是靠喷出气流的反冲作用而取得巨大速度的。现代的喷气式飞机,靠连续持续性地向后喷出气体,飞行速度可以超越l000m/s。质量为m的人在远离任何星体的太空中,与他旁边的飞船相对静止。因为没有力的作用,他与飞船总保持相对静止的状态。按照动量守恒定律,火箭原来的动量为零,喷气后火箭与燃气的总动量也还是肯定是零,即mΔv+Δmu=0 解出Δv= -Δmμ/m(1)(1)式表达,火箭喷出的燃气的速度越大、火箭喷出物质的质量与火箭本身质量之比越大,火箭取得的速度越大。火箭喷气的速度在2023~4000 m/s已超级难再大幅度提升,因为这个原因需要在减轻火箭本身质量上面下功夫。火箭起飞时的质量与火箭除燃料外的箭体质量之比叫做火箭的质量比,这个参数大多数情况下小于10,不然火箭结构的强度就成了问题。但是这样的火箭还是达不到发射人造地球卫星的7.9 km/s的速度。为了处理这个问题,苏联科学家齐奥尔科夫斯基提出了多级火箭的概念。把火箭一级一级地接在一起,第一级燃料用完后面就把箭体抛弃,减轻负担,然后第二级启动工作,这样一级一级地连起来,理论上火箭的速度可以提得很高。但是,实质上应用中大多数情况下不会超越四级,因为级数太多时,连接机构和控制机构的质量会增多得不少,工作的可靠性也会降低。
能量守恒定律怎么写?
机械能守恒公式:Ek1+Ep1=Ek2+Ep2,动量守恒公式:m1v1+m2v2+…=m1v1ˊ+m2v2ˊ+…。能量守恒定律可以表达为:一个系统的还是能够量的改变只可以等于传入或者传出该系统的能量的多少。
能量既不会凭空出现,也不会凭空消失,它仅仅会从一种形式转化为另一种形式,或者从一个物体转移到其它物体,而能量的总量保持不变。能量守恒定律是自然界普遍的基本定律之一。
动量守恒能量守恒联立的二级公式?
动量,即物体的质量和速度的乘积,用来描述运动物体的作用效果是物体机械运动的量度。
动量p=mv,单位主要还是看质量的单位和速度的单位。在国际单位制中,动量的单位是kg·m/s。
动量具有矢量性、瞬时性和相对性三个性质。动量的方向即速度的方向,而动量定义中的速度即瞬时速度,因为这个原因,动量是状态量。因为物体的运动速度与参考系的选取相关,故此,物体的动量也与参考系的选取相关,一般情况下以地面为参考系。
动量守恒定律:相互作用的物体系统若不受外力作用,或所受外力之和为零,则系统总动量保持不变。
数学表达式:
1.p=p(系统相互作用前总动量p等于相互作用后总动量p)
2.△p=0(系统总动量增量为零)
3.△p1=-△p2(相互作用的两个物体组成的系统,两物体动量增量大小相等方向相反)
4.m1v1+m2v2=m1v1+m2v2(相互作用的两个物体组成系统,前动量和等于后动量和)
动量矩守恒定律?
又称角动量守恒定律。指的是按照动量矩定理推论,当合外力矩为0时,其动量矩保持不变。表达动量矩守恒条件的定律。质点不受力或作使劲对某固定点(或轴) 之矩自始至终等于零时,该质点对该点(或轴)的动量矩保持不变。
质点系所受 外力对某固定点(或轴)之矩的和自始至终等于零时,该质点系对该点(或轴)的动量矩保持不变。
比如行星所受太阳引力自始至终指向太阳中心,故如不计其 他星体的引力,行星对太阳中心的动量矩守恒。
注册会计师考试资料下载
华宇考试网CPA注会免费资料下载
百度云网盘资料
CPA注会视频课程
©下载资源版权归作者所有;本站所有资源均来源于网络,仅供学习使用,请支持正版!
相关推荐:
注册会计师培训班-辅导课程

>>注册会计培训班视频课程,听名师讲解<<

>>注册会计培训班视频课程,听名师讲解<<
TAG标签:
(编辑:华宇考试网注册会计师)
华宇考试网CPA注会免费资料下载
-
百度云网盘资料
CPA注会视频课程
©下载资源版权归作者所有;本站所有资源均来源于网络,仅供学习使用,请支持正版!
相关推荐:
注册会计师培训班-辅导课程

>>注册会计培训班视频课程,听名师讲解<<

>>注册会计培训班视频课程,听名师讲解<<





