基本函数积分公式,不定积分公式运算法则

基本函数积分公式?
对数函数没有特定的积分公式,大多数情况下根据分部积分来计算。
比如:积分ln(x)dx
原式=xlnx-∫xdlnx
=xlnx-∫x*1/xdx=xlnx-∫dx=xlnx-x+C
大多数情况下地,假设ax=N(a0,且a≠1),既然如此那,数x叫做以a为底N的对数,记作x=logaN,读作以a为底N的对数,这当中a叫做对数的底数,N叫做真数。
大多数情况下地,函数y=logax(a0,且a≠1)叫做对数函数,其实就是常说的说以幂为自变量,指数为因变量,底数为常量的函数,叫对数函数。
积分是微分的逆运算,即了解了函数的导函数,反求原函数。在应用上,积分作用不仅是这样,它被非常多应用于求和,通俗的说是求曲边三角形的面积,这巧妙的解答方式是积分特殊的性质决定的。
积分公式运算法则?

积分运算公式:∫0dx=C(2)=ln|x|+C。积分是微分的逆运算,即了解了函数的导函数,反求原函数。在应用上,积分作用不仅是这样,它被非常多应用于求和,通俗的说是求曲边三角形的面积,这巧妙的解答方式是积分特殊的性质决定的。
微分在数学中的定义:由函数B=f(A),得到A、B两个数集,在A中当dx靠近自己时,函数在dx处的极限叫作函数在dx处的微分,微分的中心思想是无穷分割。微分是函数改变量的线性主要部分。微积分的基本概念之一。
积分万能公式推导?
x=tan(t/2)
令u = tan(x/2)
则dx = 2 du/(1 + u²)
sinx = 2u/(1 + u²)
cosx = (1 - u²)/(1 + u²)
tanx = 2u/(1 - u²)
针对一个函数f,假设在闭区间[a,b]上,不管怎样进行取样分割,只要它的子区间长度大值足够小,函数f的黎曼和都会趋向于一个确定的值S,既然如此那,f在闭区间[a,b]上的黎曼积分存在,并且定义为黎曼和的极限S。这时候称函数f为黎曼可积的。
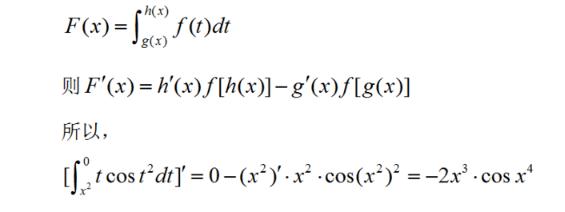
积分怎么求导?
对有积分上下限函数的求导的公式:[∫(a,c)f(x)dx]=0。

1、积分是微积分学与数学分析里的一个核心概念。积分是累加的一种形式,可以简单看成是无限项无限小的和。微积分是两个东西的统称,微分和积分,二者互为逆运算。积分是一种特殊的累加运算,不定积分就是已知一个函数的导数,要求的原函数,因为这样的原函数有无限多个,故此,叫不定。

2、积分上限函数求导法则:先将积分限带进积分函数,再对积分限进行求导,假设积分函数带有自变量,想办法故将他弄到积分号外面来。积分上限函数,设函数在区间上连续,并且设为上的一点,考察定积分。

3、微分:设Δx是曲线y = f(x)上的点M的在横坐标上的增量,Δy是曲线在点M对应Δx在纵坐标上的增量,dy是曲线在点M的切线对应Δx在纵坐标上的增量。当|Δx|很小时,|Δy-dy|比|Δy|要小得多(高阶无穷小),因为这个原因在点M附近,我们可以用切线段来近似代替曲线段。
比如:f (x)=x平方 的导数是 f (x)=2x
既然如此那,对应的就是2X反过来是X的平方
积分是微积分学与数学分析里的一个核心概念。一般分为定积分和不定积分两种。直观地说,针对一个给定的正实值函数,在一个实数区间上的定积分可以理解为在坐标平面上,由曲线、直线还有轴围成的曲边梯形的面积值(一种确定的实数值)。
积分的一个严格的数学定义由波恩哈德·黎曼给出(参见条目“黎曼积分”)。黎曼的定义运用了极限的概念,把曲边梯形设想为一系列矩形组合的极限。从十九世纪起,更高级的积分定义渐渐产生,有了对各自不同的积分域上的各自不同的类型的函数的积分。例如说,路径积分是多元函数的积分,积分的区间不可以再是一条线段(区间[a,b]),而是一条平面上或空间中的曲线段;在面积积分中,曲线被三维空间中的一个曲面代替。对微分形式的积分是微分几何中的基本概念。
大多数情况下来说定积分求导出来是0,变上限积分求导就根据课本上的求导公式代入求导就可以。
求导是数学计算中的一个计算方式,它的定义就是,当自变量的增量趋于零时,因变量的增量与自变量的增量之商的极限。在一个函数存在导数时,称这个函数可导或者可微分。可导的函数一定连续。不连续的函数一定不可导。求导方式请看下方具体内容:
求导四则运算法则与性质:
若函数u(x),v(x)都可导,则
设函数y=f(x)在点x0的某个邻域内有定义,当自变量x在x0处有增量Δx,(x0+Δx)也在该邻域内时,对应地函数获取增量Δy=f(x0+Δx)-f(x0);
假设Δy与Δx之比当Δx→0时极限存在,则称函数y=f(x)在点x0处可导,并称这个极限为函数y=f(x)在点x0处的导数记作
即:
需指出的是:
两者在数学上是等价的。
函数y=f(x)在x0点的导数f'(x0)的几何意义:表示函数曲线在点P0(x0,f(x0))处的切线的斜率(导数的几何意义是该函数曲线在这一点上的切线斜率)。
ln怎么积分?
求lnx的不定积分
1、利用分步积分法:
∫lnxdx
=xlnx-∫xd(lnx)
=xlnx-∫x*1/xdx
=xlnx-∫1dx
=xlnx-x+C
2、在微积分中,一个函数f 的不定积分,或原函数,或反导数是一个导数等于f 的函数 F ,即F ′ = f。不定积分和定积分间的关系由微积分基本定理确定。这当中F是f的不定积分。这样,不少函数的定积分的计算完全就能够简单方便地通过求不定积分来进行。
3、不定积分只是导数的逆运算,故此,也叫做反导数。而定积分是求一个函数的图形在一个闭区间上和 x 坐标轴围成的面积。
lnx的积分公式为:∫lnxdx=xlnx-∫xdlnx=xlnx-∫dx=xlnx-x+C,这当中C为常数。积分是微积分学与数学分析里的一个核心概念。一般分为定积分和不定积分两种。




