常见泰勒公式10个,十个常用的泰勒展开公式

常见泰勒公式10个?
1、sinx=x-1/6x^3+o(x^3),这是泰勒公式的正弦展开公式,在求极限时可以把sinx用泰勒公式展开代替。
2、arcsinx=x+1/6x^3+o(x^3),这是泰勒公式的反正弦展开公式,在求极限时可以把arcsinx用泰勒公式展开代替。
3、tanx=x+1/3x^3+o(x^3),这是泰勒公式的正切展开公式,在求极限时可以把tanx用泰勒公式展开代替。
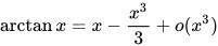
4、arctanx=x-1/3x^3+o(x^3),这是泰勒公式的反正切展开公式,在求极限时可以把arctanx用泰勒公式展开代替。
5、ln(1+x)=x-1/2x^2+o(x^2),这是泰勒公式的ln(1+x)展开公式,在求极限时可以把ln(1+x)用泰勒公式展开代替。
6、cosx=1-1/2x^2+o(x^2),这是泰勒公式的余弦展开公式,在求极限时可以把cosx用泰勒公式展开代替。
经常会用到的10个泰勒公式记忆口诀?
反正切一起记
余弦是正弦的导数
指数是正弦余弦绝对值相加
8是二项式
对数是8的-1次的积分
泰勒公式记忆口诀:“e很规矩,拆为正余,加减交织,正偶余奇。n首无1,叹号拿去,加减交织,其余同e”。泰勒公式得名于英国数学家布鲁克·泰勒。他在1712年的一封信里第一次叙述了这个公式,尽管1671年詹姆斯·格雷高里已经发现了它的特例。拉格朗日在1797年以前,先提出了带有余项的目前形式的泰勒定理
求8个经常会用到泰勒公式,写在纸上,具体点?
既然,清楚圆弧R了,起点也了解了。终点也在图纸中应该清楚,就算不清楚在图纸中也应该得出来。不一样图纸求法也明显不同。故此,没有公式。
经常会用到的10个泰勒公式记忆口诀 –?
泰勒公式记忆口诀:“e很规矩,拆为正余,加减交织,正偶余奇。n首无1,叹号拿去,加减交织,其余同e”。
泰勒公式得名于英国数学家布鲁克·泰勒。他在1712年的一封信里第一次叙述了这个公式,尽管1671年詹姆斯·格雷高里已经发现了它的特例。拉格朗日在1797年以前,先提出了带有余项的目前形式的泰勒定理。
泰勒展开公式为e^x =1+x+x^2/2+x^3/3+……+x^n/n+……,arctanx =x - x^3/3 + x^5/5 -……(x≤1)等。
1、泰勒展开式的重要性反映幂级数的求导和积分可以逐项进行,因为这个原因求和函数相对比较容易,一个剖析解读函数可被延伸为一个定义在复平面上的一个开片上的剖析解读函数,并让复分析这样的手法可行,泰勒级数可以用来近似计算函数的值并估计误差,证明不等式,求还未确定式的极限。
2、它来自于微积分的泰勒定理,假设函数足够光滑,在已知函数在某一点的各阶导数值的情况之下,泰勒公式可以用这些导数值做系数构建一个多项式来近似函数在这一点的领域中的值。
3、积分是微分的逆运算,即了解了函数的导函数,反求原函数,在应用上定积分作用不仅是这样,它被非常多应用于求和,通俗的说是求曲边三角形的面积,这巧妙的解答方式是积分特殊的性质决定的,一个函数的不定积分(亦称原函数)指另一族函数,这一族函数的导函数恰为前一函数。
高中数学泰勒公式?
数学中,泰勒公式是一个用函数在某点的信息描述其附近取值的公式。假设函数足够平滑,在已知函数在某一点的各阶导数值的情况之下,泰勒公式可以用这些导数值做系数构建一个多项式来近似函数在这一点的邻域中的值。泰勒公式还给出了这个多项式和实质上的函数值当中的偏差。
泰勒公式得名于英国数学家布鲁克·泰勒。他在1712年的一封信里第一次叙述了这个公式,尽管1671年詹姆斯·格雷高里已经发现了它的特例。拉格朗日在1797年以前,先提出了带有余项的目前形式的泰勒定理。
希腊哲学家芝诺在考虑利用无穷级数求和来得到有限结果的问题时,得出不可能的结论-芝诺悖论,这些悖论中著名的两个是“阿喀琉斯追乌龟”和“飞矢不动”。
后来,亚里士多德对芝诺悖论在哲学上进行了反驳,直到德谟克利特还有后来的阿基米德进行研究,此部分为数学内容才得到处理。阿基米德应用穷举法让一个无穷级数可以被一步一步的细分,得到了有限的结果。
14世纪,玛达瓦发现了一部分特殊函数,涵盖正弦、余弦、正切、反正切等三角函数的泰勒级数。
17世纪,詹姆斯·格雷果里同样继续着这方面的研究,并且发表了若干麦克劳林级数。直到1712年,英国牛顿学派优秀代表人物之一的数学家泰勒提出了一个通用的方式,那就是为大家所熟知的泰勒级数;爱丁堡大学的科林·麦克劳林教授发现了泰勒级数的特例,称为麦克劳林级数。
泰勒公式
泰勒公式得名于英国著名数学家布鲁克·泰勒(1685~1731),他在1712年的一封信里第一次叙述了这个公式。
泰勒公式是用一个函数在某点的信息来描述其附近取值的公式,它是用若干项连加来表示一个函数,这些东西项是由函数在某点的导数求得的。
泰勒展开式具有广泛的应用,它犹如一把倚天剑可以纵横挥洒,一剑封喉。
泰勒公式是用一个函数在某点的信息来描述其附近取值的公式,它是用若干项连加来表示一个函数,这些东西项是由函数在某点的导数求得的。
01 泰勒公式形式:
泰勒公式是将一个在x=x0处具有n阶导数的函数f(x)利用有关(x-x0)的n次多项式来逼近函数的方式。
泰勒公式初中用法?
用法请看下方具体内容:
一阶导数,系数=1/(x+1)=1/(1+x0)。二阶导数,系数=-1/(1+x)^2=-1/(1+x0)^2
数学中,泰勒公式是一个用函数在某点的信息描述其附近取值的公式。假设函数足够平滑,在已知函数在某一点的各阶导数值的情况之下,泰勒公式可以用这些导数值做系数构建一个多项式来近似函数在这一点的邻域中的值。泰勒公式还给出了这个多项式和实质上的函数值当中的偏差。




