曲率和直径换算公式,曲率圆圆心坐标怎么求

曲率和直径换算公式?
K=2/R。
K:曲率
R:直径
在微分几何中,曲率的倒数就是曲率半径,即r=1/K。平面曲线的曲率就是针对曲线上某个点的切线方向角对弧长的转动率,通过微分来定义,表达曲线偏离直线的程度。针对曲线,它等于接近该点处曲线的圆弧的半径。 针对表面,曲率半径是合适正常截面或其组合的圆的半径。
曲率半径主要是用来描述曲线上某处曲线弯曲变化的程度,特殊的如:圆上各个地方的弯曲程度都差不多的故曲率半径就是该圆的半径;直线不弯曲 ,和直线在该点相切的圆的半径可以任意大,故此,曲率是0,故直线没有曲率半径,或记曲率半径为∞。
圆形半径越大,弯曲程度就越小,也就越近似于一条直线。故此,说,曲率半径越大曲率越小,反之亦然。
假设针对某条曲线上的某个点可以找到一个与其曲率相等的圆形,既然如此那,曲线上这个点的曲率半径就是该圆形的半径(注意是这个点的曲率半径,其他点有其他的曲率半径)。也可这样理解:就是把那一段曲线尽量地微分,直到后近似为一个圆弧,此圆弧所对应的半径即为曲线上该点的曲率半径。
公式推导:
在空间曲线的情况下,曲率半径是曲率向量的长度。在平面曲线的情况下,则R要取绝对值。
这当中s是曲线上固定点的弧长,α是切向角,K是曲率。
假设曲线以笛卡尔坐标表示为y(x),则曲率半径为(假设曲线可微分)
假设曲线由函数x(t)和y(t)参数给出,则曲率为
假设γ:R→R的n次方是R的n次方中的参数曲线,则曲线各点处的曲率半径
由下式给出:
作为情况特殊,假设f(t)是从R到R的函数,则其图的曲率半径γ(t)=(t,f(t))是
弯头中心线的半径称曲率半径,严格地讲这个半径与管道直径是没有数理关系的。但是在流体力学范畴内,弯头作为一个局部阻力管件,它的曲率半径大小与局部阻力相关,曲率半径越大则阻力越小,但加工难度也增多。
这个问题就有一个适宜曲率半径问题,为方便实质上应用,大多数情况下都将曲率半径与管道的直径建立一个数值关系,表达为R=k*d,k值大多数情况下不小于1,其大小与管道所输送的流体类型及应用场合相关,大多数情况下在各专业标准、规范中都拥有一个推荐值。
圆曲率坐标怎么求?
曲率中心坐标,曲线上任一点对应的曲率中心坐标公式的推导过程请看下方具体内容:曲线上点M处的曲率的倒数,称作曲线在这点处的曲率半径,记作p ,则在点M处曲线的法线的某一侧上取一点D,使|DM|=p,并以D为圆心,以p为半径作圆。把这个圆称作曲线在点M处的曲率圆,把圆心D称做曲线在M处的曲率中心。
曲线参数方程怎么推导?
曲率(k):描述曲线下降长度随的视角变化,k=limα→0∣∣ΔαΔs∣∣k=limα→0|ΔαΔs|
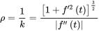
R=1k=[1+(dydx)2]32d2ydx2=[1+(f′)2]32f′′R=1k=[1+(dydx)2]32d2ydx2=[1+(f′)2]32f″ (1)
曲率半径计算公式
推导过程
曲线上某点的曲率半径是该点的密切圆的半径,在limΔs→0ΔαΔs=dαdslimΔs→0ΔαΔs=dαds存在的条件下,k=∣∣dαds∣∣k=|dαds|。
设曲线的方程为y=f(x),且f(x)具有二阶导数。因为tanα = y’(设-ππ/2αππ/2),故此,
a=arctany’
dαdx=(arctany′)′dαdx=(arctany′)′
dα=(arctany′)′dx=y′′1+y′2dxdα=(arctany′)′dx=y″1+y′2dx
或者
sec2αdα=y''dx,
dα=y′′sec2αdx=y′′1+tan2αdx=y′′1+y′2dxdα=y″sec2αdx=y″1+tan2αdx=y″1+y′2dx
3. 因为 ds=1+y′2−−−−−−√dxds=1+y′2dx(密切圆面积求导),以此得到曲率公式k=f′′[1+(f′)2]32k=f″[1+(f′)2]32。
向心力公式的推导过程是什么?
推导过程请看下方具体内容
向心力
在古典力学中,向心力是当物体沿着圆周或者曲线轨道运动时,指向圆心(曲率中心)的合外力作使劲。“向心力”一词是从这样的合外力作用所出现的效果而命名的。这样的效果可以由弹力、重力、摩擦力等任何一力而出现,也可由哪些力的合力或其分力提供。
第一向心力:设质点沿半径为r的圆周做匀速圆周运动,在某时刻速度为v1 很短的△t时间后为v2速度矢量改变△v=v2-v1 比值Δv/Δt就是质点的平均加速度,方向与Δv一样。当Δt足够小时比值就是瞬时加速度,A B两点就重合为一点,Δv即a的方向就是切线方向 .
用Δs 表示AB长则Δv=v1*Δs/r 用Δv去除 则Δv/Δt=Δs*v/Δt*r 当Δt趋近于0时 Δv/Δt表示a的大小 Δs/Δt表示线速度的大小v1于是 a=v2/r再由F=ma得到F=mv2/r 用极限的思想
第二万有引力公式是实验推倒的,没有推导过程
第三单摆周期公式要积分的,电脑上我不会打
那个牛顿合力公式这样的说法没说过,F=ma是牛顿第二定律 f=df/dt=d(mv)/dt是他的数学形式大多数情况下低速宏观用F=ma,你要是学过微分,我可以把他的推到补上
f=ma的推导:
当物体当成质点,宏观低速质量当成不随时间变换即没有函数关系,m对t求导为零,
则f=d(mv)/dt=dm/dt*v+dv/dt*m
在上面说的前提下dm/dt=0 故此,推出f=0+dv/dt*m 即f=ma
用极限,或是中学经常会用到的“微元法”
以圆心为原点,i为x轴上的单位向量
j为y轴上的单位向量
速率为v0
则速度(矢量)
v=v0sinθi+v0cosθj
(θ为某点处与x轴的夹角)
又因为θ=ωt
v=v0sinωti+v0cosωtj
a=v=ωv0(cosωti-sinωtj)
|a|=ωv0=rω^2
|F|=m|a|=mrω^2
>>二级消防工程师视频网课教程培训班介绍,点击图片试听名师课程<<




