高等数学定积分公式,定积分的公式叫什么

高等数学定积分公式?
高数定积分公式:
1)∫0dx=c
2)∫x^udx=(x^u+1)/(u+1)+c
3)∫1/xdx=ln|x|+c
4)∫a^xdx=(a^x)/lna+c
5)∫e^xdx=e^x+c
6)∫sinxdx=-cosx+c
7)∫cosxdx=sinx+c
8)∫1/(cosx)^2dx=tanx+c
9)∫1/(sinx)^2dx=-cotx+c
10)∫1/√(1-x^2) dx=arcsinx+c
11)∫1/(1+x^2)dx=arctanx+c
12)∫1/(a^2-x^2)dx=(1/2a)ln|(a+x)/(a-x)|+c
13)∫secxdx=ln|secx+tanx|+c
14)∫1/(a^2+x^2)dx=1/a*arctan(x/a)+c
15)∫1/√(a^2-x^2) dx=arcsin(x/a)+c
定积分的公式?
求导公式 (x^a)'=ax^(a-1) (a^x)'=a^xlna (logax)'=1/(x*lna) (sinx)'=cosx (cosx)'=-sinx (uv)'=uv'+u'v (u+v)'=u'+v' (u/v)'=(u'v-uv')/v^2 积分公式 1)∫0dx=c 2)∫x^udx=(x^(u+1))/(u+1)+c 3)∫1/xdx=ln|x|+c 4))∫a^xdx=(a^x)/lna+c 5)∫e^xdx=e^x+c 6)∫sinxdx=-cosx+c 7)∫cosxdx=sinx+c 8)∫1/(cosx)^2dx=tanx+c 9)∫1/(sinx)^2dx=-cotx+c 10)∫1/√(1-x^2) dx=arcsinx+c 11)∫1/(1+x^2)dx=arctanx+c 12)∫1/(a^2-x^2)dx=(1/2a)ln|(a+x)/(a-x)|+c 13)∫secxdx=ln|secx+tanx|+c 14)∫1/(a^2+x^2)dx=1/a*arctan(x/a)+c 15)∫1/√(a^2-x^2) dx=arcsin(x/a)+c 16) ∫sec^2 x dx=tanx+c; 17) ∫shx dx=chx+c; 18) ∫chx dx=shx+c; 19) ∫thx dx=ln(chx)+c;。
定积分公式
公式描述:
公式中f(x)为被积函数,积分区间为[a,b]。
定积分的洛必达法则公式?
洛必达法则是在一定条件下通过分子分母分别求导再求极限来确定未定式值的方式。大家现在都知道,两个无穷小之比或两个无穷大之比的极限可能存在,也许不存在。因为这个原因,求这种类型极限时时常需一定程度上的变形,转化成可利用极限运算法则或重要极限的形式进行计算。
洛必达法则公式:η=G/nF。洛必达法则是在一定条件下通过分子分母分别求导再求极限来确定未定式值的方式。




dx定积分计算方式?
1、定积分公式:积分是微积分学与数学分析里的一个核心概念。一般分为定积分和不定积分两种。直观地说,针对一个给定的实函数f(x),在区间[a,b]上的定积分记为:∫(a,b)[f(x)±g(x)]dx=∫(a,b)f(x)±∫(a,b)g(x)dx∫(a,b)kf(x)dx=k∫(a,b)f(x)dx,若f(x)在[a,b]上恒为正,可以将定积分理解为在Oxy坐标平面上,由曲线(x,f(x))、直线x=a、x=b还有x轴围成的面积值(一种确定的实数值)。初等定积分就是计算曲线下方大的面积大小,方式将背积变量区间分成无限小的小格,再乘以响应函数值近似求和取极限,可以证明在积分变量是自变量,积分和导数运算是逆运算(牛顿莱布尼兹公式)
2、定积分简介:积分是微分的逆运算,即了解了函数的导函数,反求原函数。在应用上,积分作用不仅是这样,它被非常多应用于求和,通俗的说是求曲边三角形的面积,这巧妙的解答方式是积分特殊的性质决定的。主要分为定积分、不定积分还有其他积分。积分的性质主要有线性性、保号性、非常大值极小值、绝对连续性、绝对值积分等。
定积分的导数怎么计算?
求导过程请看下方具体内容:
定积分是积分的一种是函数f(x)在区间[a,b]上的积分和的极限。这里应注意定积分与不定积分当中的关系:若定积分存在,则它是一个详细的数值(曲边梯形的面积),而不定积分是一个函数表达式,它们仅仅在数学上有一个计算关系(牛顿-莱布尼茨公式),其它一点关系都没有。
扩展资料:
定积分定义:设函数f(x) 在区间[a,b]上连续,将区间[a,b]分成n个子区间[x0,x1], (x1,x2], (x2,x3], …, (xn-1,xn],这当中x0=a,xn=b。就可以清楚的知道各区间的长度依次是:△x1=x1-x0,在每个子区间(xi-1,xi]中任取一点ξi(1,2,...,n),作和式
该和式叫做积分和,设λ=max{△x1, △x2, …, △xn}(即λ是大的区间长度),假设当λ→0时,积分和的极限存在,则这个极限叫做函数f(x) 在区间[a,b]的定积分,记为
并称函数f(x)在区间[a,b]上可积。 [2] 这当中:a叫做积分下限,b叫做积分上限,区间[a, b]叫做积分区间,函数f(x)叫做被积函数,x叫做积分变量,f(x)dx 叫做被积表达式,∫ 叫做积分号。
之故此,称其为定积分是因为它积分后得出的值是确定的是一个常数, 而不是一个函数。
按照上面说的定义,若函数f(x)在区间[a,b]上可积分,则有n等分的特殊分法:
非常注意,按照上面说的表达式有,当[a,b]区间恰好为[0,1]区间时,则[0,1]区间积分表达式为:
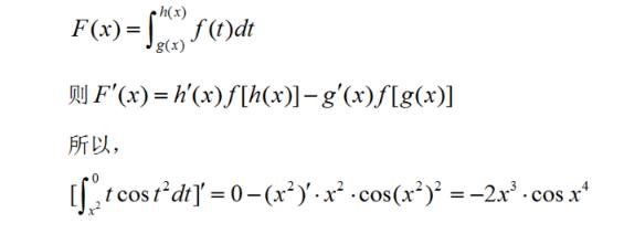
[∫(g(x),c)f(x)dx]=f(g(x))*g(x),g(x)为积分上限函数。[∫(g(x),p(x))f(x)dx]=f(g(x))*g(x)-f(p(x))*p(x),g(x)为积分上限函数,p(x)为积分下限函数。
积分上限为函数的求导公式等于被积函数以积分上限为自变量的函数值乘以积分上限的导数。
积分上下限为函数的求导公式等于被积函数以积分上限为自变量的函数值乘以积分上限的导数-被积函数以积分下限为自变量的函数值乘以积分下限的导数。
针对积分上下限为常数的积分函数,其导数=0,即[∫(a,c)f(x)dx]=0,a,c为常数。
有关e定积分公式大全?
e的积分公式:e=2xlne。积分是微积分学与数学分析里的一个核心概念。一般分为定积分和不定积分两种。直观地说,针对一个给定的正实值函数,在一个实数区间上的定积分可以理解为在坐标平面上,由曲线、直线还有轴围成的曲边梯形的面积值(一种确定的实数值)。
函数(function)的定义一般分为传统定义和近代定义,函数的两个定义实质是一样的,只是叙述概念的出发点不一样,传统定义是从运动变化的观点出发,而近代定义是从集合、映射的观点出发。函数的近代定义是给定一个数集A,假设这当中的元素为x,对A中的元素x施加对应法则f,记作f(x),得到另一数集B,假设B中的元素为y,则y与x当中的等量关系可以用y=f(x)表示,函数概念含有三个要素:定义域A、值域B和对应法则f。
这当中核心是对应法则f,它是函数关系的实质特点。
. 基本公式:∫e^xdx=e^x C;按照这个基本公式,可以通过引入x的值来计算积分。
2。函数积分的解答方式:设f(x)为函数f(x)的原函数,取函数f(x)的全部原函数f(x)C(C为任意常数)为函数f(x)的不定积分,即∫f(x)DX=f(x)C,这当中∫为积分符号,f(x)为被积函数,x为积分变量(x) DX称为被积函数,C称为积分常数,求已知函数不定积分的过程称为函数积分。积分是微积分和数学分析的核心概念。它一般分为定积分和不定积分。直观地说,针对给定的实函数f(x),区间[a,b]上的定积分。假设f(x)在[a,b]上总是正的,则定积分可以理解为曲线(x,f(x))、直线x=a,x=b和x轴在氧坐标平面上围成的面积值(某个实值
>>二级消防工程师视频网课教程培训班介绍,点击图片试听名师课程<<
(责任编辑:华宇考试网)




